|
FASOR
1 Fórmula de Euler.
Existe una forma expresar el movimiento armónico simple. La fórmula de Euler establece una relación entre la exponencial de un número imaginario y las funciones trigonométricas:
o, equivalentemente,
2 Vectores rotatorios.
|
Si consideramos que el exponente en la fórmula de Euler es proporcional al tiempo, el resultado es un vector rotatorio en el plano complejo

La parte real de este número complejo rotatorio, esto es, su proyección sobre el eje de abscisas, representa una oscilación cosenoidal. La parte imaginaria oscila igualmente, pero como un seno, esto es, desfasada un cuarto de periodo.
3 Amplitudes complejas (fasores).
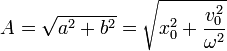
La solución general del movimiento armónico simple, en función de las condiciones iniciales, es:

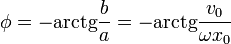
y, en función de la amplitud y la fase


Aplicando la fórmula de Euler a la expresión anterior

|

|
donde:

es la llamada amplitud compleja o fasor de la variable x. El movimiento armónico simple se puede ver entonces como la proyección sobre el eje real de un vector que gira en el plano complejo y cuyo valor en el instante t = 0 es la amplitud compleja 
Se define entonces, en general, la amplitud compleja o fasor de una cantidad oscilante f(t) como aquel número complejo constante que cuando se multiplica por y se halla la parte real del producto, resulta la cantidad f(t).

Este número complejo tiene por módulo la amplitud de las oscilaciones y por argumento la constante de fase

Aplicando de nuevo la fórmula de Euler obtenemos la parte real y la imaginaria del fasor de la posición

esto es, la amplitud compleja queda completamente determinada por las condiciones iniciales del movimiento.
|
4 Derivación e integración de fasores.
La gran ventaja de la definición de los fasores es que simplifican enormemente las derivadas e integrales.
4.1 Velocidad en un MAS.
Si derivamos la expresión fasorial obtenemos la velocidad instantánea de una partícula en un MAS

La derivada de una parte real es la parte real de la derivada, y es una cantidad constante, por lo que

Esto es, la velocidad también se puede escribir en forma fasorial

donde:

es decir, para calcular el fasor de la derivada de una magnitud, solo necesitamos multiplicar el fasor de dicha magnitud por . El uso de fasores transforma las derivadas en multiplicaciones.
En función de las condiciones iniciales el fasor de la velocidad es:
|

|

Podemos comprobar que efectivamente este fasor produce la velocidad como función del tiempo

El resultado es la derivada temporal de la posición.
En el plano complejo, el fasor de la velocidad está girado 90° respecto al de la posición, como resultado de la multiplicación por la velocidad imaginaria.
|
4.2 Aceleración en un MAS
La misma regla algebraica la podemos aplicar al cálculo de la aceleración. Su fasor será igual al de la velocidad multiplicado por 

Gráficamente el fasor de la aceleración está girado 90° respecto al de la velocidad y por tanto posee sentido opuesto al de la posición.
5 Integración de fasores
La regla inversa a la de la derivación se aplica a la hora de integrar. Si se sabe que tanto una magnitud como su primitiva son funciones oscilantes, el fasor de la primitiva es simplemente el fasor de la magnitud dividido por . Así

6 Aplicación al caso de un oscilador forzado
Un ejemplo en el que la solución empleando fasores es mucho más simple que la que usa funciones trigonométricas es el caso de un oscilador armónico con rozamiento sometido a una fuerza oscilante.
Suponemos un oscilador armónico unidimensional, de constante k, masa m y coeficiente de rozamiento viscoso b. Se trata de ver cómo se mueve este oscilador cuando se encuentra sometido a una fuerza
|

|

|

|
La ecuación de movimiento para la partícula es

o, en términos de la posición,

Tras un periodo transitorio inicial, el movimiento de la partícula se reduce a oscilaciones siguiendo a la fuerza, con la misma frecuencia, pero con un posible desfase

Para encontrar la amplitud y desfase de este movimiento oscilatorio, escribimos la ecuación la ecuación en forma fasorial, reemplazando las derivadas por multiplicaciones por j?. Nos queda la ecuación algebraica

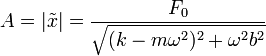
De aquí despejamos el fasor de la posición

Esta ecuación nos da la amplitud de las oscilaciones

y el desfase respecto a la fuerza aplicada

|