Page 106 - MECÁNICA PARA INGENIERÍA Y SUS APLICACIONES – DINÁMICA Capítulo III
P. 106
MECÁNICA PARA INGENIERÍA Y SUS APLICACIONES – DINÁMICA Capítulo III
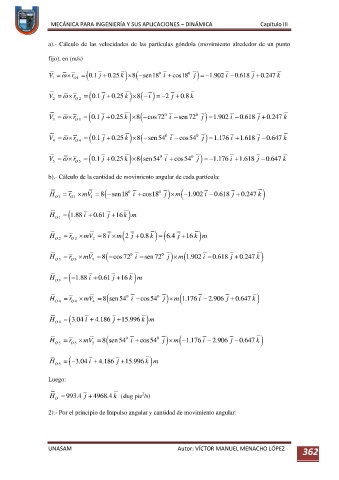
a).- Cálculo de las velocidades de las partículas góndola (movimiento alrededor de un punto
fijo), en (m/s)
V r O 1 0.1 j 0.25 k 8 sen18 i cos18 0 j 1.902 i 0.618 j 0.247 k
0
1
V r O 2 0.1 j 0.25 k i 8 2 j 0.8 k
2
0
V r O 3 0.1 j 0.25 k 8 cos72 i sen72 j 1.902 i 0.618 j 0.247 k
0
3
V r O 4 0.1 j 0.25 k 8 sen54 i cos54 j 1.176 i 1.618 j 0.647 k
0
0
4
V r O 5 0.1 j 0.25 k 8 sen54 i 0 cos54 0 j 1.176 i 1.618 j 0.647 k
5
b).- Cálculo de la cantidad de movimiento angular de cada partícula:
0
0
H O 1 r mV 8 sen18 i cos18 j m 1.902 i 0.618 j 0.247 k
O
1
1
H O 1 1.88 i 0.61 j 16k m
H O 2 r O 2 mV 8 i m 2 j 0.8 k 6.4 j 16 k m
2
0
0
H O 3 r O 3 mV 8 cos72 i sen72 j m 1.902 i 0.618 j 0.247 k
3
H O 3 1.88 i 0.61 j 16 k m
0
0
H O 4 r O 4 mV 8 sen54 i cos54 j m 1.176 i 2.906 j 0.647 k
4
H O 4 3.04 i 4.186 j 15.996 k m
0
0
H O 5 r O 5 mV 8 sen54 i cos54 j m 1.176 i 2.906 j 0.647 k
5
H O 5 3.04 i 4.186 j 15.996 k m
Luego:
H O 993.4 j 4968.4 k (slug pie /s)
2
2).- Por el principio de Impulso angular y cantidad de movimiento angular:
UNASAM Autor: VÍCTOR MANUEL MENACHO LÓPEZ 362

